发布日期:2025-11-27 22:57 点击次数:113
在数学领域,$0.9$的循环与$1$是相等的。
为深入理解这一问题,本文将借助无穷小与极限的关系展开阐述。
函数极限的定义:对于函数$f(x)$,当$x$趋向于某数$x_0$时,若对于任意给定的正数$\varepsilon$,都能找到正数$\delta$,使得当$0\lt|x - x_0| \lt\delta$时,$|f(x)-f(x_0)| \lt\varepsilon$成立,那么$f(x_0)$即为函数$f(x)$在$x$趋近于$x_0$时的极限。
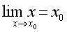
图1
在此表达式里,$f(x)=x$。
在极限定义中,当$0\lt|x - x_0| \lt\delta$时,$|f(x)-f(x_0)| \lt\varepsilon$成立。其中$\delta$和$\varepsilon$均为任意正数。而$0\lt|x - x_0| \lt\delta$表明,$|x - x_0|$的大小已无法用任何正数来衡量,因为只要$|x - x_0|$是正数,就不可能比任意正数都小。
这一表达式意味着,当$x$与$x_0$的距离小到无法用任何大于$0$的正数表示时,在数学上就认定$x = x_0$。
在上图中,假设$1$为$x_0$,$x$是$0.9$的循环(后文以$0.[9]$表示)。也就是说,当$0.[9]$趋近于$1$的过程持续不断时,$0.[9]$与$1$之间的间隔$\Delta$会小到无法用任何大于$0$的正数表示,然而这段间隔确实存在,因为$0.[9]$与$1$实际上是两个不同的数,二者永远无法完全重合。这正是极限思想中无限趋近却永不重合的含义。
实际上,在$0.[9]$中,只要$9$一直循环下去,它与$1$之间的差距是不是就无法用任何大于$0$的正数表示呢?
$0.[9]$与$0.9[8]$不同,$1$与$0.9[8]$之间的差距可用$0.0111......$表示,这是一个实实在在大于$0$的正数;而$1$与$0.[9]$之间的差距只能用$0.000......$表示,且$0.000......$并不完全等于$0$,因为只有当$0.000......$这个循环过程结束时,$0.000......$才完全等于$0$,但这个无限循环过程不可能终结,所以$0.[9]$与$1$之间的间隔$\Delta$始终大于$0$。
所以,极限思想的要点可归纳为:
1:无限趋近但永不重合。
2:两者间存在差距,然而该差距无法用任何大于$0$的数字表示。
3:此差距$\Delta$在数学上称作无穷小。
4:图1表明,$x$与$x_0$之间存在差距,但两者差距无法用任何正数表示,这种情形下就认为两者相等。
5:图1中等式左边呈现的是一个动态的趋近过程,右边则是一个数字,该数字是左边动态过程的终极目标,这个目标可无限趋近却永远无法真正达成。
#数学 #极限 #无穷小 #0.9的循环